交流分析s

微變等效電路

?
3 共漏極放大電路

?
與三極管共集電極電路對應
?
?
?

直流分析
VG=VDDRg2/(Rg1+Rg2)
VGS= VG-VS= VG-IDR
ID= IDSS[1-(VGS /VP)]2
VDS= VDD-IDR
由此可以解出VGS、ID和VDS。
直流通路
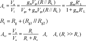
交流分析

?
s
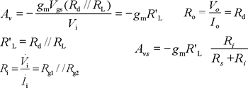
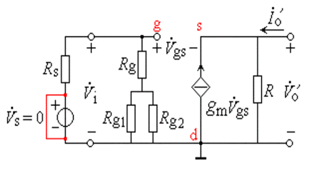
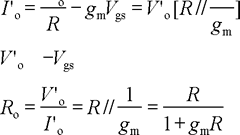
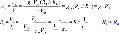
輸出電阻


?
4.共柵極放大電路


?
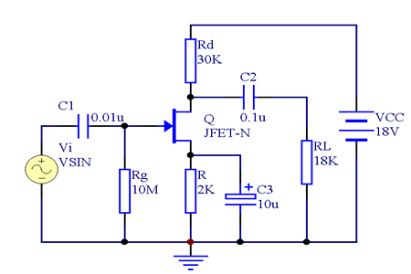
例題 共源

已知:
gm=0.3mA/V
IDSS=3mA
VP=-2V
?
?
?
?
?

?
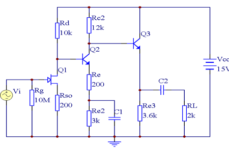
例題 多級放大電路

?
?
已知: VBE=0.6V, β=120, gm=3mA/V, VP=2.5V IDSS=4mA
?
?
?

